AERO100连载 | PCC集团
2019年11年08日
航空产业网 2024-02-21
航空产业,作为现代工业文明的显著标志,对于国家的国防安全、经济发展以及科技进步和工业现代化具有深远影响。在全球化和技术创新的推动下,航空产业正面临前所未有的发展良机。我国航空产业经过数十年的稳步发展,已经构建起一个完整的产业链,涵盖了设计研发、生产制造、运营管理到维修服务等多个环节,并在国际竞争中展现出不俗的实力。
2023 年,中国航空产业迎来了快速发展的全新时代,目前,我国航空产业全产业链上市公司的总数达到了284家,总体市值达到了53745亿元。行业内的优质企业出现了一波上市潮,其中16家企业于2023年成功上市。研究中国航空航天产业上市企业分布和重要企业上市动向对中国企业、政府机构发展航空航天具有重要的意义,对产业企业发展产融结合之路具有重要的参考价值。
在近三百家航空全产业链上市企业中,航空产业网根据企业的主营业务构成,筛选出84家主要经营业务为航空产品的企业,其中航空制造企业60家,运营服务型企业24家,作为行业的中流砥柱,它们的稳健发展对整个产业链的升级起着至关重要的作用。截至2023年年末,这84家企业的总市值为15063.59亿元,占据航空全产业链上市公司总市值的28%;总产值高达8758.777亿元,占据航空全产业链上市公司总产值的24%。

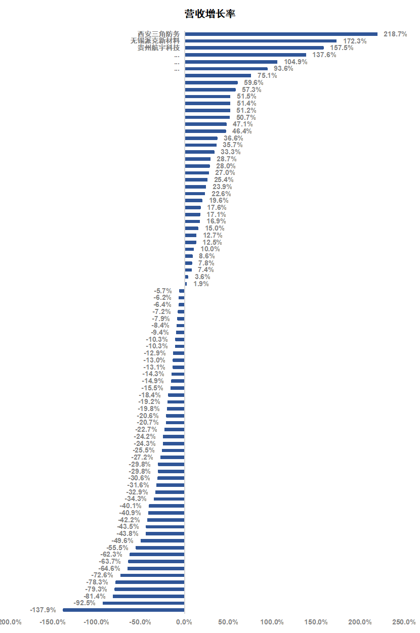
回顾过往三年,由于疫情的影响, 航空产业产值增长较为缓慢,在筛选出的84家企业中,47家企业营收增长率为负,37家企业营收增长率为正,西安三角防务股份有限公司、无锡派克新材料科技股份有限公司、贵州航宇科技发展股份有限公司在营收增长率方面位居前三,分别为219%, 172%及157%。以上三家企业皆为航空航天材料制造类企业,可见相关细分产业较强的发展能力。

从产业细分类别来看,截至2023年,平均营收增长率最高的细分产业为航空航天材料制造产业,营收增长率为43.63%,其次是民航航空公司,营收增长率为31.57%; 发动机零部件制造产业位居第三位,利润率为19.48%。

在盈利能力方面,2023年,利润率最高的三家企业为北京北摩高科摩擦材料股份有限公司、陕西华秦科技实业股份有限公司及光启技术股份有限公司,其利润率分别为44.5%,44%及37%。

从产业细分类别来看,平均利润率最高的细分产业为航空航天材料制造产业,平均利润率为17.58%,其次是机体结构件制造产业,利润率为13.45,航空维修企业位居第三位,利润率为9.83%。

净资产收益率最高的三家企业为海南航空控股股份有限公司、春秋航空股份有限公司及中航沈飞股份有限公司,其净资产收益率分别为27.38%,16.49%及15.11%。

从产业类别来看,在净资产收益率方面,平均净资产收益率最高的细分产业为飞机制造产业,为8.41%,其次是航空航天材料制造产业,平均净资产收益率为8.07%,民航航空公司细分产业位居第三位,平均净资产收益率为5.29%。
人均产值前三名的企业分别为西安三角防务股份有限公司、无锡派克新材料科技股份有限公司以及贵州航宇科技发展股份有限公司,分别为433.9、294.2及270.8万元。以上企业均为航空航天材料制造产业。
从产业类别来看,人均产值最高的细分产业为飞机制造产业,平均人均产值为148.82万元,其次是民航航空公司,平均人均产值为135.07万元,通用航空制造类企业平均人均产值位居第三位,为133.27万元。

同时,截至2023年12月底,总市值最高的三家公司分别是中国国际航空股份有限公司、中航沈飞股份有限公司、中国南方航空股份有限公司,其市值分别为1001.23亿元、946.03亿元、874.89亿元。除了中航沈飞股份外,其他两家企业皆为民航类企业。

总市值最高的三个细分产业为民航航空公司、其次是机载系统与设备制造产业,第三名是飞机制造细分产业企业,这三个产业的总市值分别为6297.53亿元、1951.54亿元以及1571.69亿元。

整体而言,制造业展现出了最为可观的盈利能力,尤其是飞机制造类产业及航空航天材料制造类产业,在净资产收益率、利润率、人均产值及营收成长能力方面均位于全产业链前端。民航航空公司在市值表现上较为突出,是航空产业链中较为适合进行金融投资的产业。
展望未来,随着国家“十四五”规划和2035年远景目标的逐步实施,以及新型基础设施建设和国际航空枢纽建设等政策的深入推动,我国航空产业将迎来更加广阔的发展空间。航空产业上市公司作为行业的先锋,将继续发挥引领作用,推动我国航空产业向着更高水平、更深层次、更宽领域的发展。我们有理由相信,在不久的将来,我国航空产业将成为全球航空产业的重要力量,为世界航空事业的发展贡献中国智慧和力量。
航空产业网郑重推出了本报告!报告收录上市企业 284 家,共计200余页。报告按照在航空产业链的位置对上市企业进行了归类,包括地面设备企业、发动机零部件制造、发动机制造、飞机制造、分销商、航空标准件、航空航天元器件制造、航空模拟器研发与制造、航空维修企业、技术服务、航空公司等领域,系统梳理了我国航空产业链上市公司的全貌。感谢您的关注与支持!
航空产业网团队
2024 年 3月
查看完整报告:
中国航空上市企业一览.pdf
2019年11年08日
2022年05年18日
2019年12年02日
2022年07年22日
2019年06年25日
2019年06年25日
2024年02年21日
2021年08年18日
2021年10年18日
2019年06年03日
评论 (0)